Labor-Rechner

Hinweis zur Nutzung und Zweck: Die hier bereitgestellten medizinischen Rechner dienen ausschließlich der neutralen Information, Forschungszwecken und der allgemeinen Weiterbildung. Sie stellen keine Empfehlung oder Bewerbung der beschriebenen oder erwähnten diagnostischen Methoden, Behandlungen oder Arzneimittel dar. Die Rechner ersetzen keinesfalls die fachliche Beratung durch einen Arzt oder Apotheker und er darf nicht als Grundlage zur eigenständigen Diagnose und Beginn, Änderung oder Beendigung einer Behandlung von Krankheiten verwendet werden. Konsultieren Sie bei gesundheitlichen Fragen oder Beschwerden immer den Arzt Ihres Vertrauens!

Reiber Diagramme

Alter
Jahre


 Serum
[g/l]
Liquor (CSF)
[mg/l]
 QCSF/Serum
[x 10
-3]
Norm
[x 10
-3]
lokale Synthese
[%]
lokale Synthese [mg/l]
Albumin   
IgG 
IgA 
IgM 

  

Immunglobulin G

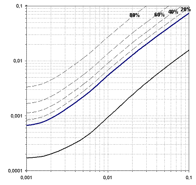
IgG-Diagramm

lokale Synthese%lokale Synthesemg/l
Quotient Grenzlinie IgGx 10-3Untere Grenze IgGx 10-3
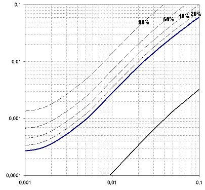
Immunglobulin A

IgG-Diagramm

lokale Synthese%lokale Synthesemg/l
Quotient Grenzlinie IgAx 10-3Untere Grenze IgAx 10-3
Immunglobulin M
IgM-Diagramm
lokale Synthese%lokale Synthesemg/l
Quotient Grenzlinie IgMx 10-3Untere Grenze IgMx 10-3
Beurteilung

 

Mit Hilfe der von Prof. Reiber entwickelten Quotienten und deren grafischer Darstellung in den sogenannten "Reiber-Diagrammen" ist es möglich, zu beurteilen, ob eine Störung der Blut-Hirnschranke vorliegt und/oder eine intrathekale Immunglobulinsynthese vorliegt. Hierzu werden in Serum-Liquor-Paaren Albumin und IgG, IgA und IgM bestimmt. Die daraus errechneten Liquor-Serum-Quotienten werden in ein doppelt-logarhitmisches Diagramm eingetragen. Die nachfolgenden Immunglobulin-spezifischen Diagramme beinhalten 7 Linien. Die blaue Linie stellt die obere Grenze des Normbereiches der Albumin-/Immunglobulin-Quotienten dar. Die durchgezogene schwarze Linie beschreibt die untere Grenze des Referenzbereiches. Die vier gestrichelten Linen erlauben die Abschätzung des Ausmaßes (20, 40, 60 und 80 %) der intrathekalen Immunglobulinsynthese bezogen auf den Gesamt-Immunglobulingehalt. Da die obere Referenzbereichsgrenze für den Serum-/Liquor-Albumin-Quotienten altersabhängig ist, wird diese Grenze erst nach Eingabe des Alters berechnet und im Diagramm als senkrechte blaue Grenzlinie dargestellt. Punkte die rechts von dieser Linie zu liegen kommen zeigen ein Schrankenstörung an.

 

Einteilung der Schrankenstörung
Albuminquotient Mögliche Erkrankung
Leicht (Qalb bis 10 x 10-3) Multiple Sklerose Chronische HIV-Enzephalitis Zoster-Ganglionitis Alkoholische Polyneuropathie Amyotrophe Lateralsklerose
Mittelgradig (Qalb bis 20 x 10-3)Virale Meningitis Opportunistische Meningoenzephalitiden Diabetische Polyneuropathie Hirninfarkt Großhirnathrophie
Schwer (Qalb = 10 bis 50 x 10-3) (Qalb über 20 x 10-3) Guillan-Barre-Polyneuritis Herpes-simplex Enzephalitis Meningopolyneuritis Bannwarth Eitrige Meningitis Tuberkulöse Meningitis

 

Übersicht über Befundkonstellationen und zugehörige Erkrankungen
Reaktionstyp Mögliche Erkrankung
Kein IgG, IgA, IgM Frühe bakterielle Meningitis und Virusenzephalitis, Guillain-Barré-Polyradiculitis
IgG-Dominanz Multiple Sklerose (seltenes Auftreten von IgMIF, 20%, und IgAIF, 9%) Neurosyphilis (Zwei-Klassen-Reaktion, gelegentlich erhöhte IgMIF, kein IgAIF) Chronische HIV-Enzephalitis (Ein-Klassen-Reaktion)
IgA-Dominanz Neurotuberkulose (IgA isoliert oder mit schwacher IgG-und/oder IgM-Reaktion) Hirnabszess Adrenoleukodystrophie
IgM-Dominanz Neuroborreliose (IgMIF > IgAIF > IgGIF) Mumps-Meningoenzephalitis (Drei-Klassen-Reaktion) Non-Hodgkin-Lymphom mit ZNS-Beteiligung (Ein-Klassen-Reaktion, z.B. isolierte IgMIF>0) Neurotrypanosomiasis (Drei-Klassen-Reaktion)
IgG + IgA + IgM ohne Dominanz Opportunistische Infektionen bei Immunschwäche (CMV, Toxoplasma)

Literatur

  • Reiber H. Liquordiagnostik In: Thomas L, ed. Labor und Diagnose, 6. Auflage. Frankfurt: TH-Books 2005: 1743 - 1784
  • Reiber H. Liquordiagnostik. In: Berlit P, ed. Klinische Neurologie. 2. Auflage Heidelberg: Springer 2006: 137 - 170
  • Reiber H and Felgenhauer K. Protein transfer at the blood-CSF barrier and the quantitation of the humoral immune response within the central nervous system. Clin Chim Acta 1987; 163: 319–28.

Die für die jeweilige Berechnung zugrunde gelegten Formeln entstammen publizierten Studien.
Hinweise und Anregungen nehmen wir gerne entgegen!